不拼参数,拼效率:3970 亿总参数,推理仅激活 170 亿,Qwen3.5 用约 4.3% 的参数量,跑出超越上代万亿稠密模型的性能,这才是下一代大模型该有的样子!

图 | 通义千问 Qwen3.5
现在,万象城AWC算力云(OneThingAI)已接入 Qwen3.5 系列模型 API 服务,企业用户专享 9 折优惠,让高性能大模型也能低成本、零门槛、快速落地。

✅ 极致的“智能密度”:MoE 架构再进化
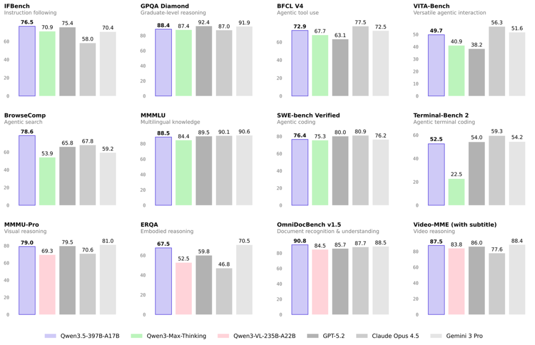
Qwen3.5 系列创新采用了 Gated DeltaNet(线性注意力)+ 高效稀疏 MoE 混合架构,在 397B 总参、仅激活 17B 的前提下,多项核心测试实现对行业顶级模型的全面赶超:

图 | 模型基准测试
其系列还覆盖 122B-A10B、35B-A3B 等多款型号,35B 模型仅激活 30 亿参数,性能即可超越旧版 235B 旗舰,真正做到“少参数、高激活、强性能”。
✅ 原生多模态:视觉 - 语言深度一体化
Qwen3.5 是全球首个原生多模态 MoE 大模型,视觉与文本从底层统一编码、联合训练,彻底杜绝信息损耗与理解割裂。它支持图文理解与长视频时序分析,既能精准感知物理规律与像素级细节,也能读懂复杂图表,自动拆解逻辑生成代码。
比如,你可以问它:
在下图中,电话亭在黄色货车的左侧还是右侧?它会识别并帮你在图片上标注出来。

又或者让它画一画,帮你找出红球到绿球的最短路线

当然,氛围编程,小游戏开发也不在话下:

还能当你的全能办公助手,帮你高效整理数据、处理表格~

据悉,它还支持超 201 种语言和方言,跨语言理解与交互能力大幅强化,号称全场景适配的视觉 - 语言一体化智能体。
✅ 双模式切换:效率与速度的精准平衡
Qwen3.5 在面对数学计算、编程开发、多步逻辑推理等复杂任务时,可自主完成分步推理;针对日常对话、信息查询等轻量化需求,可精简推理步骤,实现更快响应、更低算力消耗。全程智能适配各类场景,让算力利用更高效,使用体验也更流畅。
✅ 推理效率飞跃:最高提升 19 倍
官方实测显示:32K 上下文下推理吞吐量较上代提升 8.6 倍,256K 超长上下文下最高提升 19 倍。模型原生支持 256K 上下文,并可扩展至百万级 tokens,轻松适配长文档分析、长篇代码处理、长视频解析等重度场景。

图 | 32K/256K 吞吐量倍数对比柱状图
总的来说,Qwen3.5 扔掉了参数包袱,专攻实用效能,再搭配万象城AWC算力云的高性价比算力,让开源大模型真正实现高效、低成本、可落地。
快速接入 Qwen3.5
http://console.onethingai.com/modelApi/list/detail/qwen3.5-397b-a17b
http://console.onethingai.com/modelApi/list/detail/qwen3.5-122b-a10b
http://console.onethingai.com/modelApi/list/detail/qwen3.5-35b-a3b
http://console.onethingai.com/modelApi/list/detail/qwen3.5-27b
http://console.onethingai.com/modelApi/list/detail/qwen3.5-plus
http://console.onethingai.com/modelApi/list/detail/qwen3.5-flash